Semoga kalian masih semangat untuk mempelajari lebih dalam tentang MATRIKS, ya pembahasan saya kali ini tentang MATRIKS LANJUTAN 2 ini adalah sambungan pembahasan kita minggu lalu.
Sebelum kita memasuki materi pembahasan tersebut saya ingin menjabarkan terlebih dahulu materi pembahasan kita sekarang ini tentang MATRIKS LANJUTAN 2 yang terdiri dari :
1. Determinan Matriks Ordo 3x3
2. Invers Matriks
dan saya juga akan membuatkan contoh dari masing materi diatas supaya kalian lebih cepat memahimi pembahasan kita kali ini.
Oke langsung saja saya mulai dari pembahasan materi yang pertama dari MATRIKS LANJUTAN 2 yaitu tentang Determinan Matriks Ordo 3x3.
Determinan Matriks Ordo 3x3
Pada Matriks ordo 3x3 untuk mencari determinannya terbagi dalam dua metode yaitu :
1. Metode Sarrus
2. Metode Minor dan Kofaktor
1. Metode Sarrus
Contoh soal :
2. Metode Minor dan Kofaktor
Dapat dibentuk suatu sub determinan dari matriks yang disebut sebagai minor. Sehingga Minor |Mij| adalah determinan dari submatriks yang dibentuk dengan menghapus baris ke-i dan kolom ke-j dari matriks tersebut. Dimana |M11| adalah minor dari a11; |M12| adalah minor dari a12 dan |M13| adalah minor dari a13, dan seterusnya.
Apabila suatu minor diberi tambahan tanda (-1)^i+j, maka disebut kofator |Cij|.
Maka |Cij| = (-1)^i+j|Mij|; jika jumlah i+j genap maka akan sama dengan 1. Sedangkan jika jumlah i+j adalah ganjil maka |Cij|=-|Mij|, karena jika (-1) dipangkatkan dengan bilangan negatif maka hasilnya akan sama dengan (-1).
Invers Matriks
1 Mencari Invers dengan Matriks Adjoint
Inverse Matriks (matriks balikan) A-1 hanya dapat ditemukan pada suatu matriks bujur sangkar, dan non singular. Dimana harus memenuhi suatu hubungan sebagai berikut :

Dimana rumus untuk memperolah balikan dari matriks adalah :

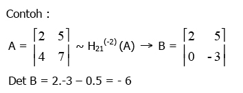
2.Mencari Invers dengan transformasi Elementer
Misalnya ada suatu Matriks, Matriks A, dengan rank r, dengan transformasi elementer dapat diubah bentuknya menjadi matriks yang disebut matriks normal.

Untuk mengubah matriks A menjadi matriks normal maka diusahakan mengubah elemen dibawah diagonal a11, a22 dan a33menjadi nol dengan transformasi elemen baris. Dilanjutkan dengan transformasi kolom agar elemen-elemen diatas diagonal tersebut menjadi 0.


jika kalian merasa terbantu dengan blog ini jangan lupa di share ke temen-temen kalian ya bro and sis
terima kasih.
















































