ya pembahasan gw seperti biasa masih membahas tentang MATEMATIKA, Teori gw kali ini membahas tentang Integral Calculus broo...
sebelum kita memasuki teori pembahasan ini, gw mao menjabarkan terlebih dahulu materi yang akan gw bahas yaitu :
1. Apa itu integral calculus
2. Aturan-aturan dasar integral
Okee, gw akan langsung masuk kepembahasan apa itu integral calculus ?
PENGERTIAN INTEGRAL CALCULUS DAN KEGUNAAN INTEGRAL
1. Integral calculus atau integration vs. differentiation
þ Primitive function F(x) vs derivative function f(x)
Integral calculus atau integration adalah kebalikan dari differentiation, yaitu :
µ Apabila fungsi F(x) merupakan an integral (anti derivative) function dari fungsi f(x), maka :
F(x) disebut sebagai primitive function, sedangkan
f(x) merupakan derivative dari F(x) dan f(x) adalah fungsi kontinyu (a continuous function) di atas domainnya atau suatu interval independent variabel x.
µ Jadi integration atau integral calculus menyangkut pencarian (tracing) asal (the parentage of) dari fungsi f(x).
Tetapi differentiation mencari turunan (derivative atau differentiation) dari F(x).
µ Differentiation dari F(x) menghasilkan fungsi yang unik (a unique derivative function) f(x).
Sebaliknya, integration dari f(x) menghasilkan banyak tak terbatas bentuk fungsi (indefinite number of possible parents) F(x).
þ Penjelasan :
µ Notasi integration dari f(x) terhadap x dalam rangka menuju atau ditrasir ke F(x) :
dimana C adalah suatu angka yang bersifat bebas atau angka apa saja (an arbitrary constant of integration) yang berfungsi sebagai indikasi banyaknya fungsi primitif yang bisa dihasilkan (the multiple parentage of the integrand).
INTEGRAL INDEFINITE (INDEFINITE INTEGRALS) DAN KETENTUAN-KETENTUAN INTEGRASI (RULES OF INTEGRATION)
1. Integral indefinite vs. Integral definite
2. Aturan Integrasi (berlaku juga untuk Integral definite) dan Contoh :
RULE 1 s.d, RULE 3 : Aturan dasar (Basic Rules of Integration)
RULE 4 dan RULE 5 : Aturan operasi (Rules of Operation)
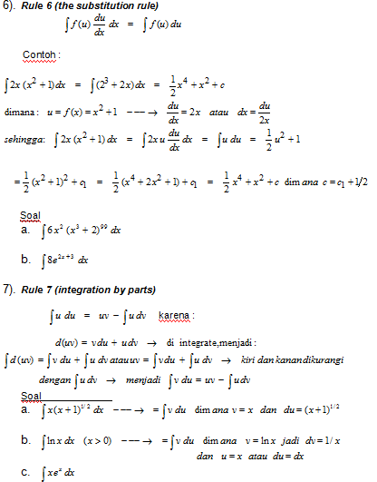
RULE 6 dan RULE 7 : Aturan Untuk Substitusi (Rules Involving Substitution)
INTEGRAL DEFINITE (DEFINITE INTEGRALS) DAN SIFATNYA (ITS PROPERTIES)
1. Pengertian definite integrals dan contoh
Definite integral adalah integral pada suatu interval atau jarak tertentu di atas domain variabel bebas (independent variable) x, misal dari angka a ke b (a < b), dengan notasi :
2. A definite integral sebagai suatu area di bawah kurva atau fungsi
þ Penjelasan :
þ Theorem
Suatu fungsi mempunyai integral (integrable) pada suatu interval [a, b], apabila fungsi itu kontinyu pada interval dimaksud,
atau,
Jika fungsi f(x) adalah dalam interval [a, b], maka syarat perlu dan cukup (necessary and sufficient and condition) untuk terdapatnya
adalah bahwa set tidak kontinyu dari f(x) mempunyai measure zero (yaitu jika jumlah dari semua jarak dalam semua interval yang menutup semua titik dapat dibuat secar bebas sedemikian kecilnya (if the sum of the lengths of intervals enclosing all points can be made arbitrary small – less than any given positive number ε).
3. Sifat-sifat (properties) definite integral
4. Definite integral ke indefinite integral
Baiklah bro and sis sekian dulu pembahasan kita kali ini tentang Integral Calculus semoga blog ini bisa membantu kalian dalam kesulitan belajar matematika.
jika kalian merasa terbantu dengan blog ini jangan lupa di share ke temen-temen kalian ya bro and sis, terima kasih..
jika kalian merasa terbantu dengan blog ini jangan lupa di share ke temen-temen kalian ya bro and sis, terima kasih..















Tidak ada komentar:
Posting Komentar